/* 隐藏滚动条但可滑动 */

Come il Voltammetria Ciclica Gioca un Ruolo nei Test della PEMFC?

Picture of Michael Ward

Il principio delle celle a combustibile con membrana a scambio protonico (PEMFC) è quello di convertire l’energia chimica dell’idrogeno in energia elettrica attraverso una serie di reazioni elettrochimiche. L’efficienza e le prestazioni delle PEMFC dipendono in gran parte dal comportamento dei materiali utilizzati, in particolare dai catalizzatori sulle superfici degli elettrodi. La voltammetria ciclica (CV) è una tecnica elettrochimica importante utilizzata per studiare e comprendere questi comportamenti. Successivamente, TMN esplorerà il principio di funzionamento della voltammetria ciclica nei test delle PEMFC e la sua importanza nella valutazione e nel miglioramento delle prestazioni delle celle a combustibile.

Cos’è la Voltammetria Ciclica

La voltammetria ciclica (CV) è ampiamente utilizzata per testare l’area superficiale elettrochimica (ECSA) degli elettrodi delle celle a combustibile. La CV è tipicamente implementata con l’aiuto di un potenziostato in un sistema a tre elettrodi (una cella elettrochimica contenente un elettrodo di lavoro, un elettrodo di contro e un elettrodo di riferimento). Il potenziale dell’elettrodo di lavoro viene scansionato avanti e indietro tra un valore massimo e uno minimo dal potenziostato, mentre la corrente tra l’elettrodo di lavoro e l’elettrodo di contro viene registrata per tracciare un grafico di corrente rispetto al potenziale, noto come voltammogramma ciclico (curva CV). L’area superficiale elettrochimica viene calcolata sulla base di questa curva.

Condizioni per i Test di Voltammetria Ciclica (CV)

Anodo: H₂ completamente umidificato

Catodo: N₂ completamente umidificato (o una miscela di N₂ e CO)

Il catodo ha un impatto significativo sulle prestazioni della cella a combustibile, quindi l’area superficiale elettrochimica del catodo viene solitamente studiata (se si studia l’anodo, N₂ completamente umidificato viene alimentato all’anodo e H₂ completamente umidificato al catodo). Il catodo funge da elettrodo di lavoro e l’anodo contemporaneamente serve come elettrodo di riferimento e elettrodo di contro. Durante questo processo, le reazioni di adsorbimento e desorbimento dell’idrogeno del Pt si verificano come segue:

Reazione di Desorbimento dell’Idrogeno: Pt-H_ads → Pt + H⁺ + e⁻

Reazione di Adsorbimento dell’Idrogeno: Pt + H⁺ + e⁻ → Pt-H_ads

Nota: Il metodo di utilizzo dell’adsorbimento/desorbimento dell’idrogeno per testare l’area superficiale elettrochimica non è adatto per i metalli che assorbono idrogeno o sono influenzati dall’adsorbimento/desorbimento dell’idrogeno. Pertanto, per i catalizzatori in lega, il metodo di stripping del CO viene comunemente utilizzato per testare l’area superficiale elettrochimica.

Curva CV Tipica

Basandosi sull’area del picco di desorbimento dell’idrogeno ottenuta dal test e dalla velocità di scansione della voltammetria ciclica, l’area superficiale elettrochimica può essere calcolata utilizzando la seguente formula:

SECA=0.1×SH/(Qr×υ×Mpt)

Dove:

SECA: Area superficiale elettrochimica del Pt nell’elettrodo di lavoro, in metri quadrati per grammo (m²/g)

S_H: Area del picco di desorbimento dell’idrogeno sulla curva CV, in ampere-volt (A·V)

Q_r: Carica coulombica richiesta per l’adsorbimento dell’idrogeno su una superficie liscia di Pt

ν: Velocità di scansione della voltammetria ciclica, in volt al secondo (V/s)

M_pt: Massa di Pt nell’elettrodo, in grammi (g)

Principi di Base e Analisi della Voltammetria Ciclica

La voltammetria ciclica (CV) è un metodo transitorio utilizzato per studiare le proprietà elettrochimiche dei sistemi. Analizzando le curve CV, è possibile ottenere parametri importanti per indagare i processi agli elettrodi, i meccanismi di reazione e la cinetica delle reazioni agli elettrodi, come i potenziali di picco del catodo e dell’anodo (Epc ed Epa) e la loro differenza ΔE, così come il rapporto delle correnti di picco ipc/ipa.

Il principio del test di voltammetria ciclica è di scansionare il potenziale sull’elettrodo di lavoro in una forma d’onda triangolare. Il potenziale viene scansionato a una data velocità u dal potenziale iniziale Ea al potenziale finale Ex, e poi scansionato inversamente di nuovo a Eo alla stessa velocità, registrando la corrispondente curva corrente-potenziale (i-E), nota anche come voltammogramma. Il punto temporale in cui il potenziale si inverte è chiamato tempo di inversione del potenziale. La relazione tra potenziale e tempo può essere espressa come: E = Eo + ut, dove u è la velocità di scansione e t è il tempo di scansione. Durante una scansione del potenziale triangolare, viene completato un ciclo di ossidazione e riduzione, da cui il nome voltammetria ciclica.

(A) Curva CV tipica (il riquadro mostra la curva potenziale-tempo)

(B) Diagramma schematico delle variazioni di concentrazione della coppia redox sulla superficie dell’elettrodo durante la scansione del potenziale (supponendo che la concentrazione iniziale di Red sia 0)

Domande e Risposte Comuni sulla Voltammetria Ciclica

D: Quali sono i parametri importanti nei test di voltammetria ciclica? Come dovrebbero essere selezionati questi parametri durante la misurazione?

R: Nei test di voltammetria ciclica, diversi parametri chiave sono cruciali per i risultati del test e l’analisi dei dati. Comprendere e selezionare correttamente questi parametri è essenziale per ottenere dati accurati e affidabili. Ecco alcuni parametri importanti nei test di voltammetria ciclica e metodi per la loro selezione:

Parametri Importanti e Loro Selezione

1. Potenziale Iniziale (Ea) e Potenziale Finale (Ex)

Metodo di Selezione: I potenziali iniziale e finale dovrebbero essere scelti in base all’intervallo di potenziale della reazione elettrochimica da misurare. Generalmente, il potenziale iniziale dovrebbe essere entro l’intervallo di potenziale prima dell’inizio della reazione, e il potenziale finale dovrebbe essere entro l’intervallo di potenziale dopo il completamento della reazione. Assicurarsi che l’intervallo di potenziale copra l’intero processo elettrochimico.

2. Velocità di Scansione (u)

Metodo di Selezione: La velocità di scansione si riferisce alla velocità di variazione del potenziale, di solito espressa in volt al secondo (V/s). La velocità di scansione influisce significativamente sulla forma e sui picchi della curva CV:

Scansione Lenta (u bassa): Aiuta a osservare reazioni elettrochimiche lente e processi agli elettrodi, ma può risultare in una risoluzione inferiore.

Scansione Veloce (u alta): Aiuta a catturare reazioni elettrochimiche rapide ma può causare un ritardo nella risposta di corrente e una distorsione della curva.

Come selezionare una velocità di scansione appropriata dipende dalle caratteristiche cinetiche della reazione e dagli obiettivi sperimentali. Tipicamente, viene condotta una serie di test a diverse velocità di scansione per determinare le condizioni ottimali.

3. Tipo e Concentrazione dell’Elettrolita

Metodo di Selezione: Il tipo e la concentrazione dell’elettrolita influenzano l’ambiente elettrochimico della reazione all’elettrodo. Il tipo e la concentrazione appropriati dell’elettrolita dovrebbero essere scelti in base alle caratteristiche della reazione e alla stabilità dei reagenti e dei prodotti. Gli elettroliti comuni includono soluzioni acide, alcaline e neutre.

4. Temperatura della Soluzione

Metodo di Selezione: La temperatura della soluzione influisce significativamente sulla velocità delle reazioni elettrochimiche e dei processi agli elettrodi. Controllare e registrare la temperatura sperimentale, e garantire che il test venga condotto a temperatura costante, aiuta a migliorare la comparabilità e la riproducibilità dei dati.

5. Selezione degli Elettrodi di Riferimento e di Contro

Metodo di Selezione: L’elettrodo di riferimento dovrebbe avere un potenziale stabile per fornire un riferimento di potenziale accurato. Gli elettrodi di riferimento comuni includono l’elettrodo di argento/cloruro di argento (Ag/AgCl) e l’elettrodo a calomelano saturo (SCE). L’elettrodo di contro è tipicamente realizzato con materiali inerti, come il filo di platino o l’asta di carbonio, per garantire che non si verifichino reazioni secondarie durante il processo elettrochimico.

D: Come Identificare i Picchi Redox nella Voltammetria Ciclica

R: Identificare i picchi redox in un grafico di voltammetria ciclica (CV) è un passaggio cruciale nell’analisi elettrochimica. I picchi di ossidazione e riduzione rappresentano due stadi diversi della reazione elettrochimica, corrispondenti alla corrente massima delle reazioni di ossidazione e riduzione, rispettivamente. I seguenti metodi possono essere utilizzati per determinare i picchi redox in un grafico CV:

Metodo di Osservazione Diretta: Osservando la curva CV, identificare i punti in cui la corrente raggiunge il suo valore massimo. I potenziali corrispondenti sono i potenziali di picco (Epa ed Epc), e le correnti sono le correnti di picco (ipa e ipc).

Metodo di Smussamento dei Dati: Utilizzare tecniche come il filtraggio di Savitzky-Golay o altri metodi di smussamento per elaborare i dati CV, riducendo il rumore e rendendo i picchi più evidenti.

Metodo della Seconda Derivata: Calcolare la seconda derivata della curva CV. I punti in cui la seconda derivata è zero e cambia segno corrispondono ai picchi nella curva originale.

Metodo di Correzione della Linea di Base: Adattare e sottrarre la corrente di base per eliminare le interferenze di fondo, consentendo un’identificazione più accurata delle posizioni dei picchi.

Metodo di Adattamento della Curva: Utilizzare modelli come le funzioni Gaussiane o Lorentziane per adattare i picchi ed estrarre le posizioni e le magnitudini dei picchi dalla curva adattata.

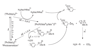
D: Come Determinare i Picchi Redox nella Voltammetria Ciclica

R: Prendendo come esempio la reazione di fotodegradazione, inferiamo il suo processo di reazione, dove il bipiridina di rutenio agisce come ossidante e l’acido ascorbico come riducente.

La relazione tra energia di attivazione e potenziale è la seguente:

Combinando i coefficienti del solvente, possono essere derivate le equazioni dell’energia libera di Gibbs per due diversi processi di reazione:

Sostituendo i valori di potenziale, si possono ottenere i valori dell’energia libera di Gibbs. In base al segno dell’energia libera di Gibbs, il percorso della reazione può essere determinato.

Per saperne di più:

Celle a combustibile: Metodi di Test delle Prestazioni per Elettrocatalizzatori Comuni

Reazioni degli Elettrodi nelle Celle a Combustibile: Anodo e Catodo

Applicazioni Pratiche delle Celle a Combustibile a Membrana a Scambio Protonico

Spiegazione dettagliata della struttura e del principio delle celle a combustibile a membrana di scambio protonico

[contact-form-7 id=”6f18c4b” title=”main”]

Get In Touch

Share your project details for a fast technical review and competitive pricing.
We guarantee 100% privacy. Your information will not be shared. See our Privacy Policy.