Das Prinzip der Protonenaustauschmembran-Brennstoffzelle (PEMFC) besteht darin, die chemische Energie von Wasserstoff durch eine Reihe elektrochemischer Reaktionen in elektrische Energie umzuwandeln. Die Effizienz und Leistung der PEMFC hängen weitgehend vom Verhalten der verwendeten Materialien ab, insbesondere der Katalysatoren auf den Elektrodenoberflächen. Die Zyklische Voltammetrie (CV) ist eine wichtige elektrochemische Technik, die verwendet wird, um diese Verhaltensweisen zu untersuchen und zu verstehen. Im Folgenden wird TMN das Arbeitsprinzip der Zyklischen Voltammetrie bei der PEMFC-Prüfung und ihre Bedeutung bei der Bewertung und Verbesserung der Brennstoffzellenleistung erläutern.
Was ist Zyklische Voltammetrie?
Die Zyklische Voltammetrie (CV) wird häufig verwendet, um die elektrochemische Oberfläche (ECSA) von Brennstoffzellenelektroden zu testen. CV wird typischerweise mit Hilfe eines Potentiostaten in einem Drei-Elektroden-System (einer elektrochemischen Zelle mit einer Arbeitselektrode, einer Gegenelektrode und einer Bezugselektrode) durchgeführt. Der Potentiostat scannt das Potenzial der Arbeitselektrode hin und her zwischen einem Maximum und einem Minimum, während der Strom zwischen der Arbeitselektrode und der Gegenelektrode aufgezeichnet wird, um ein Diagramm von Strom gegen Potenzial zu erstellen, bekannt als zyklisches Voltammogramm (CV-Kurve). Die elektrochemische Oberfläche wird auf Basis dieser Kurve berechnet.
Bedingungen für die Zyklische Voltammetrie (CV) Prüfung
Anode: Vollständig befeuchtetes H₂
Kathode: Vollständig befeuchtetes N₂ (oder eine Mischung aus N₂ und CO)
Die Kathode hat einen erheblichen Einfluss auf die Leistung der Brennstoffzelle, daher wird normalerweise die elektrochemische Oberfläche der Kathode untersucht (wenn die Anode untersucht wird, wird vollständig befeuchtetes N₂ zur Anode und vollständig befeuchtetes H₂ zur Kathode geleitet). Die Kathode fungiert als Arbeitselektrode, und die Anode dient gleichzeitig als Bezugselektrode und Gegenelektrode. Während dieses Prozesses treten die Wasserstoffadsorptions- und Desorptionsreaktionen von Pt wie folgt auf:
Wasserstoffdesorptionsreaktion: Pt-H_ads → Pt + H⁺ + e⁻
Wasserstoffadsorptionsreaktion: Pt + H⁺ + e⁻ → Pt-H_ads
Hinweis: Die Methode zur Verwendung der Wasserstoffadsorption/-desorption zur Prüfung der elektrochemischen Oberfläche ist nicht geeignet für Metalle, die Wasserstoff absorbieren oder von der Wasserstoffadsorption/-desorption beeinflusst werden. Daher wird für Legierungskatalysatoren häufig die CO-Strip-Methode verwendet, um die elektrochemische Oberfläche zu testen.
Typische CV-Kurve

Auf Basis der Fläche des Wasserstoffdesorptionspeaks, der aus dem Test gewonnen wird, und der Zyklischen Voltammetrie-Scanrate kann die elektrochemische Oberfläche mit der folgenden Formel berechnet werden:
SECA=0.1×SH/(Qr×υ×Mpt)
Wobei:
SECA: Elektrochemische Oberfläche von Pt in der Arbeitselektrode, in Quadratmetern pro Gramm (m²/g)
S_H: Fläche des Wasserstoffdesorptionspeaks auf der CV-Kurve, in Ampere-Volt (A·V)
Q_r: Coulombische Ladung, die für die Wasserstoffadsorption auf einer glatten Pt-Oberfläche erforderlich ist
ν: Zyklische Voltammetrie-Scanrate, in Volt pro Sekunde (V/s)
M_pt: Masse von Pt in der Elektrode, in Gramm (g)
Grundlagen und Analyse der Zyklischen Voltammetrie
Die Zyklische Voltammetrie (CV) ist eine transiente Methode zur Untersuchung der elektrochemischen Eigenschaften von Systemen. Durch die Analyse von CV-Kurven können wichtige Parameter zur Untersuchung von Elektrodenprozessen, Reaktionsmechanismen und Elektrodenreaktionskinetiken gewonnen werden, wie z.B. die Spitzenpotentiale der Kathode und Anode (Epc und Epa) und deren Differenz ΔE sowie das Verhältnis der Spitzenströme ipc/ipa.
Das Prinzip der zyklischen Voltammetrie-Prüfung besteht darin, das Potenzial an der Arbeitselektrode in einer dreieckigen Wellenform zu scannen. Das Potenzial wird mit einer bestimmten Rate u vom Anfangspotential Ea bis zum Endpotential Ex gescannt und dann mit der gleichen Rate rückwärts auf Eo gescannt, wobei die entsprechende Strom-Potenzial-Kurve (i-E-Kurve), auch bekannt als Voltammogramm, aufgezeichnet wird. Der Zeitpunkt, an dem das Potenzial umkehrt, wird als Potenzialumkehrzeitpunkt bezeichnet. Die Beziehung zwischen Potenzial und Zeit kann ausgedrückt werden als: E = Eo + ut, wobei u die Scanrate und t die Scanzeit ist. Während eines dreieckigen Potenzialscans wird ein Oxidations- und Reduktionszyklus abgeschlossen, daher der Name Zyklische Voltammetrie.


(A) Typische CV-Kurve (der Ausschnitt zeigt die Potenzial-Zeit-Kurve)
(B) Schematische Darstellung der Konzentrationsänderungen des Redox-Paares auf der Elektrodenoberfläche während des Potenzialscans (unter der Annahme, dass die Anfangskonzentration von Red 0 ist)
Häufige Fragen und Antworten zur Zyklischen Voltammetrie
F: Was sind die wichtigen Parameter bei der zyklischen Voltammetrie-Prüfung? Wie sollten diese Parameter während der Messung ausgewählt werden?
A: Bei der zyklischen Voltammetrie-Prüfung sind mehrere Schlüsselparameter entscheidend für die Testergebnisse und die Datenanalyse. Das Verständnis und die korrekte Auswahl dieser Parameter sind wesentlich, um genaue und zuverlässige Daten zu erhalten. Hier sind einige wichtige Parameter bei der zyklischen Voltammetrie-Prüfung und Methoden zu deren Auswahl:
Wichtige Parameter und deren Auswahl
1. Anfangspotential (Ea) und Endpotential (Ex)
Auswahlmethode: Die Anfangs- und Endpotentiale sollten basierend auf dem Potentialbereich der zu messenden elektrochemischen Reaktion gewählt werden. Im Allgemeinen sollte das Anfangspotential innerhalb des Potentialbereichs vor Beginn der Reaktion liegen und das Endpotential innerhalb des Potentialbereichs nach Abschluss der Reaktion. Stellen Sie sicher, dass der Potentialbereich den gesamten elektrochemischen Prozess abdeckt.
2. Scanrate (u)
Auswahlmethode: Die Scanrate bezieht sich auf die Rate der Potentialänderung, üblicherweise ausgedrückt in Volt pro Sekunde (V/s). Die Scanrate beeinflusst wesentlich die Form und Spitzen der CV-Kurve:
Langsamer Scan (niedriges u): Hilft, langsame elektrochemische Reaktionen und Elektrodenprozesse zu beobachten, kann jedoch zu einer geringeren Auflösung führen.
Schneller Scan (hohes u): Hilft, schnelle elektrochemische Reaktionen zu erfassen, kann jedoch eine Verzögerung der Stromantwort und Verzerrungen der Kurve verursachen.
Wie eine geeignete Scanrate ausgewählt wird, hängt von den kinetischen Eigenschaften der Reaktion und den experimentellen Zielen ab. Typischerweise wird eine Reihe von Tests bei unterschiedlichen Scanraten durchgeführt, um die optimalen Bedingungen zu bestimmen.
3. Art und Konzentration des Elektrolyten
Auswahlmethode: Die Art und Konzentration des Elektrolyten beeinflussen das elektrochemische Umfeld der Elektrodenreaktion. Die geeignete Art und Konzentration des Elektrolyten sollte basierend auf den Eigenschaften der Reaktion und der Stabilität der Reaktanten und Produkte gewählt werden. Gängige Elektrolyte umfassen saure, alkalische und neutrale Lösungen.
4. Lösungstemperatur
Auswahlmethode: Die Temperatur der Lösung hat wesentlichen Einfluss auf die Rate der elektrochemischen Reaktionen und Elektrodenprozesse. Die Kontrolle und Aufzeichnung der Versuchstemperatur sowie die Sicherstellung der Prüfung bei konstanter Temperatur helfen, die Vergleichbarkeit und Reproduzierbarkeit der Daten zu verbessern.
5. Auswahl der Referenz- und Gegenelektroden
Auswahlmethode: Die Referenzelektrode sollte ein stabiles Potenzial haben, um eine genaue Potenzialreferenz bereitzustellen. Gängige Referenzelektroden sind die Silber/Silberchlorid (Ag/AgCl) Elektrode und die gesättigte Kalomelelektrode (SCE). Die Gegenelektrode besteht typischerweise aus inertem Material, wie Platin-Draht oder Kohlenstoffstab, um sicherzustellen, dass während des elektrochemischen Prozesses keine Nebenreaktionen auftreten.
F: Wie erkennt man Redox-Peaks in der Zyklischen Voltammetrie?
A: Die Identifizierung der Redox-Peaks in einer zyklischen Voltammetrie (CV) Kurve ist ein entscheidender Schritt in der elektrochemischen Analyse. Oxidations- und Reduktionspeaks repräsentieren zwei verschiedene Stadien der elektrochemischen Reaktion und entsprechen dem maximalen Strom der Oxidations- bzw. Reduktionsreaktionen. Die folgenden Methoden können verwendet werden, um die Redox-Peaks in einer CV-Kurve zu bestimmen:
Direkte Beobachtungsmethode: Durch Beobachtung der CV-Kurve die Punkte identifizieren, an denen der Strom seinen Maximalwert erreicht. Die entsprechenden Potentiale sind die Spitzenpotentiale (Epa und Epc), und die Ströme sind die Spitzenströme (ipa und ipc).
Daten-Glättungsmethode: Techniken wie Savitzky-Golay-Filterung oder andere Glättungsmethoden verwenden, um die CV-Daten zu verarbeiten, Rauschen zu reduzieren und die Peaks deutlicher zu machen.
Zweite Ableitungsmethode: Die zweite Ableitung der CV-Kurve berechnen. Die Punkte, an denen die zweite Ableitung null ist und das Vorzeichen wechselt, entsprechen den Peaks in der ursprünglichen Kurve.
Basislinienkorrekturmethode: Die Basislinienströme anpassen und subtrahieren, um Hintergrundinterferenzen zu eliminieren und eine genauere Identifizierung der Peak-Positionen zu ermöglichen.
Kurvenanpassungsmethode: Modelle wie die Gauß’sche oder Lorentzsche Funktionen verwenden, um die Peaks anzupassen und die Peak-Positionen und -Größen aus der angepassten Kurve zu extrahieren.
F: Wie bestimmt man die Redox-Peaks in der Zyklischen Voltammetrie?
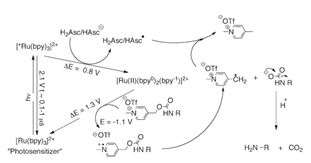
A: Am Beispiel der Photodegradationsreaktion lassen sich deren Reaktionsprozesse ableiten, wobei Rutheniumbipyridin als Oxidationsmittel und Ascorbinsäure als Reduktionsmittel wirkt.

Die Beziehung zwischen Aktivierungsenergie und Potential ist wie folgt:

Durch Kombination der Lösungsmittelkoeffizienten können die Gibbs’schen Freien Energie-Gleichungen für zwei verschiedene Reaktionsprozesse abgeleitet werden:

Durch Einsetzen der Potentialwerte können die Werte der Gibbs’schen Freien Energie erhalten werden. Basierend auf dem Vorzeichen der Gibbs’schen Freien Energie kann der Reaktionsweg bestimmt werden.
Mehr lesen:
Brennstoffzellen: Leistungstestmethoden für gängige Elektrokatalysatoren
Electrode Reactions in Fuel Cells: Anode and Cathode
Die praktische Anwendung von Proton Austausch Membran-Brennstoffzellen
Detaillierte Erklärung der Struktur und des Prinzips von Protonenaustauschmembran-Brennstoffzellen


