Le principe des piles à combustible à membrane échangeuse de protons (PEMFC) consiste à convertir l’énergie chimique de l’hydrogène en énergie électrique par une série de réactions électrochimiques. L’efficacité et la performance des PEMFC dépendent largement du comportement des matériaux utilisés, en particulier des catalyseurs sur les surfaces des électrodes. La voltamétrie cyclique (CV) est une technique électrochimique importante utilisée pour étudier et comprendre ces comportements. Ensuite, TMN explorera le principe de fonctionnement de la voltamétrie cyclique dans les tests de PEMFC et son importance dans l’évaluation et l’amélioration des performances des piles à combustible.
Qu’est-ce que la Voltamétrie Cyclique ?
La voltamétrie cyclique (CV) est largement utilisée pour tester la surface électrochimique (ECSA) des électrodes de piles à combustible. La CV est généralement mise en œuvre avec l’aide d’un potentiostat dans un système à trois électrodes (une cellule électrochimique contenant une électrode de travail, une électrode de contre-réaction et une électrode de référence). Le potentiel de l’électrode de travail est balayé d’avant en arrière entre une valeur maximale et une valeur minimale par le potentiostat, tandis que le courant entre l’électrode de travail et l’électrode de contre-réaction est enregistré pour tracer un graphique du courant en fonction du potentiel, connu sous le nom de voltammogramme cyclique (courbe CV). La surface électrochimique est calculée sur la base de cette courbe.
Conditions pour les Tests de Voltamétrie Cyclique (CV)
Anode : H₂ entièrement humidifié
Cathode : N₂ entièrement humidifié (ou un mélange de N₂ et de CO)
La cathode a un impact significatif sur la performance des piles à combustible, donc la surface électrochimique de la cathode est généralement étudiée (si l’on étudie l’anode, du N₂ entièrement humidifié est alimenté à l’anode et du H₂ entièrement humidifié à la cathode). La cathode agit comme l’électrode de travail, et l’anode sert simultanément d’électrode de référence et d’électrode de contre-réaction. Pendant ce processus, les réactions d’adsorption et de désorption de l’hydrogène du Pt se produisent comme suit :
Réaction de Désorption de l’Hydrogène : Pt-H_ads → Pt + H⁺ + e⁻
Réaction d’Adsorption de l’Hydrogène : Pt + H⁺ + e⁻ → Pt-H_ads
Remarque : La méthode utilisant l’adsorption/désorption de l’hydrogène pour tester la surface électrochimique n’est pas adaptée aux métaux qui absorbent l’hydrogène ou sont affectés par l’adsorption/désorption de l’hydrogène. Par conséquent, pour les catalyseurs d’alliage, la méthode de décapage au CO est couramment utilisée pour tester la surface électrochimique.
Courbe CV Typique

Sur la base de la surface du pic de désorption de l’hydrogène obtenue à partir du test et du taux de balayage de la voltamétrie cyclique, la surface électrochimique peut être calculée en utilisant la formule suivante :
SECA = 0.1 × S_H / (Q_r × ν × M_pt)
Où :
SECA : Surface électrochimique du Pt dans l’électrode de travail, en mètres carrés par gramme (m²/g)
S_H : Surface du pic de désorption de l’hydrogène sur la courbe CV, en ampères-volts (A·V)
Q_r : Charge coulombique nécessaire pour l’adsorption de l’hydrogène sur une surface de Pt lisse
ν : Taux de balayage de la voltamétrie cyclique, en volts par seconde (V/s)
M_pt : Masse de Pt dans l’électrode, en grammes (g)
Principes de Base et Analyse de la Voltamétrie Cyclique
La voltamétrie cyclique (CV) est une méthode transitoire utilisée pour étudier les propriétés électrochimiques des systèmes. En analysant les courbes CV, des paramètres importants pour l’investigation des processus électrodes, des mécanismes de réaction et de la cinétique des réactions électrodes peuvent être obtenus, tels que les potentiels de pic de la cathode et de l’anode (Epc et Epa) et leur différence ΔE, ainsi que le rapport des courants de pic ipc/ipa.
Le principe des tests de voltamétrie cyclique est de balayer le potentiel sur l’électrode de travail sous forme d’onde triangulaire. Le potentiel est balayé à une vitesse donnée u du potentiel initial Ea au potentiel final Ex, puis balayé en sens inverse jusqu’à Eo à la même vitesse, enregistrant la courbe courant-potentiel (i-E) correspondante, également connue sous le nom de voltammogramme. Le point de temps auquel le potentiel inverse est appelé le temps d’inversion du potentiel. La relation entre le potentiel et le temps peut s’exprimer comme suit : E = Eo + ut, où u est la vitesse de balayage, et t est le temps de balayage. Pendant un balayage de potentiel triangulaire, un cycle d’oxydation et de réduction est complété, d’où le nom de voltamétrie cyclique.


(A) Courbe CV typique (l’encart montre la courbe potentiel-temps)
(B) Schéma des changements de concentration du couple redox sur la surface de l’électrode pendant le balayage du potentiel (en supposant que la concentration initiale de Red est 0)
Questions Courantes et Réponses sur la Voltamétrie Cyclique
Q: Quels sont les paramètres importants dans les tests de voltamétrie cyclique ? Comment ces paramètres doivent-ils être sélectionnés pendant la mesure ?
R: Dans les tests de voltamétrie cyclique, plusieurs paramètres clés sont cruciaux pour les résultats des tests et l’analyse des données. Comprendre et sélectionner correctement ces paramètres est essentiel pour obtenir des données précises et fiables. Voici quelques paramètres importants dans les tests de voltamétrie cyclique et des méthodes pour les sélectionner :
Paramètres Importants et Leur Sélection
Potentiel Initial (Ea) et Potentiel Final (Ex)
Méthode de Sélection : Les potentiels initial et final doivent être choisis en fonction de la gamme de potentiels de la réaction électrochimique mesurée. En général, le potentiel initial doit être dans la gamme de potentiels avant le début de la réaction, et le potentiel final doit être dans la gamme de potentiels après la fin de la réaction. Assurez-vous que la gamme de potentiels couvre l’ensemble du processus électrochimique.
Vitesse de Balayage (u)
Méthode de Sélection : La vitesse de balayage fait référence à la vitesse de changement de potentiel, généralement exprimée en volts par seconde (V/s). La vitesse de balayage affecte de manière significative la forme et les pics de la courbe CV :
Balayage Lent (faible u) : Aide à observer les réactions électrochimiques lentes et les processus électrodes, mais peut entraîner une résolution plus faible.
Balayage Rapide (élevé u) : Aide à capturer les réactions électrochimiques rapides mais peut provoquer un décalage de la réponse en courant et une distorsion de la courbe.
Comment sélectionner une vitesse de balayage appropriée dépend des caractéristiques cinétiques de la réaction et des objectifs expérimentaux. En général, une série de tests à différentes vitesses de balayage sont effectués pour déterminer les conditions optimales.
Type et Concentration de l’Électrolyte
Méthode de Sélection : Le type et la concentration de l’électrolyte affectent l’environnement électrochimique de la réaction électrode. Le type et la concentration appropriés de l’électrolyte doivent être choisis en fonction des caractéristiques de la réaction et de la stabilité des réactifs et des produits. Les électrolytes courants incluent les solutions acides, alcalines et neutres.
Température de la Solution
Méthode de Sélection : La température de la solution impacte de manière significative la vitesse des réactions électrochimiques et des processus électrodes. Contrôler et enregistrer la température expérimentale, et assurer des tests à température constante, aide à améliorer la comparabilité et la reproductibilité des données.
Sélection des Électrodes de Référence et de Contre-Réaction
Méthode de Sélection : L’électrode de référence doit avoir un potentiel stable pour fournir une référence de potentiel précise. Les électrodes de référence courantes incluent l’électrode argent/chlorure d’argent (Ag/AgCl) et l’électrode calomel saturée (SCE). L’électrode de contre-réaction est généralement faite de matériaux inertes, tels que le fil de platine ou la tige de carbone, pour garantir qu’aucune réaction secondaire ne se produit pendant le processus électrochimique.
Q : Comment Identifier les Pics Redox en Voltamétrie Cyclique
R : Identifier les pics redox dans un graphique de voltamétrie cyclique (CV) est une étape cruciale dans l’analyse électrochimique. Les pics d’oxydation et de réduction représentent deux étapes différentes de la réaction électrochimique, correspondant respectivement au courant maximal des réactions d’oxydation et de réduction. Les méthodes suivantes peuvent être utilisées pour déterminer les pics redox dans un graphique CV :
Méthode d’Observation Directe : En observant la courbe CV, identifiez les points où le courant atteint sa valeur maximale. Les potentiels correspondants sont les potentiels de pic (Epa et Epc), et les courants sont les courants de pic (ipa et ipc).
Méthode de Lissage des Données : Utilisez des techniques telles que le filtrage de Savitzky-Golay ou d’autres méthodes de lissage pour traiter les données CV, réduisant le bruit et rendant les pics plus apparents.
Méthode de la Seconde Dérivée : Calculez la seconde dérivée de la courbe CV. Les points où la seconde dérivée est nulle et change de signe correspondent aux pics de la courbe originale.
Méthode de Correction de la Ligne de Base : Ajustez et soustrayez le courant de la ligne de base pour éliminer les interférences de fond, permettant une identification plus précise des positions des pics.
Méthode d’Ajustement de Courbe : Utilisez des modèles tels que les fonctions gaussiennes ou lorentziennes pour ajuster les pics et extraire les positions et les amplitudes des pics à partir de la courbe ajustée.
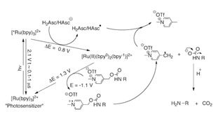
Q : Comment Déterminer les Pics Redox en Voltamétrie Cyclique
R : En prenant la réaction de photodégradation comme exemple, inférons son processus de réaction, où le bipyridine de ruthénium agit comme oxydant et l’acide ascorbique comme réducteur.

La relation entre l’énergie d’activation et le potentiel est la suivante :

En combinant les coefficients de solvant, les équations de l’énergie libre de Gibbs pour deux processus de réaction différents peuvent être dérivées :

En substituant les valeurs de potentiel, les valeurs de l’énergie libre de Gibbs peuvent être obtenues. En fonction du signe de l’énergie libre de Gibbs, le chemin réactionnel peut être déterminé.
En savoir plus :
Piles à combustible : Méthodes de test de performance pour les électrocatalyseurs courants
Réactions aux électrodes dans les piles à combustible : Anode et Cathode
Applications Pratiques des Piles à Combustible à Membrane Échangeuse de Protons


